TOC PREV NEXT INDEX

Graphics Display Kit


3
Assembling a Graphics Display Kit application

This chapter describes how to assemble the various objects in the Graphics Display Kit to create a Graphics Display Kit application. You should have completed the tutorials in Chapter 2, Tutorials before starting those presented here.

This chapter discusses:

3.1 Introduction
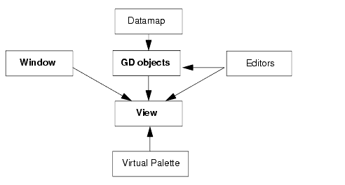
3.1.1 Parts of an application

A Graphics Display Kit application consists of several interacting parts. An application has, at minimum, one or more Graphics Display Kit objects, a view, and a window. Keep the following "big picture" in mind:



Parts of an application
Description
View
Defines a view of the connected Graphics Display Kit objects. A view includes one or more cameras, lights, a palette, and other characteristics.
Window
Defines the window in which the view appears.
GD objects
Define Graphics Display Kit objects, including data, properties, modes, and other characteristics.
Datamap
Let the user control the conversion from scalar data values to colors.
Editors
Let the user control a view or object.
Virtual Palette
Lets the user control the amount of color resources consumed by the view.

3.1.2 Two ways to build each part

The Graphics Display Kit generally gives you two ways to build each part of an application:

3.1.3 Application program interface

The Graphics Display Kit provides an application program interface for accessing the base objects.

3.2 Graphics Display Kit objects
3.2.1 Base objects

You can create a Graphics Display Kit object by assembling base type objects, according to the structure shown below. All objects except DefaultObject (the "root" object) are optional:




The objects that make up a Graphics Display Kit object are summarized in the following table.

Object
Description
DefaultObject
The root object. DefaultObject stores basic information about the object, has connections to the other base types, and invokes update methods when the object changes. The object defines:
Whether the object is visible.
Whether the object can be picked.
Whether the object's data should be cached.
The objects's transform mode.
Surface conversion attributes.
Image display attributes.
Whether an alternate object should be rendered.
The object's type (static or dynamic). The view to which the object is connected has a subobject called accel. If accel is 1 and the object's type is static, the object is rendered only if the object changes.
Data
Data to be rendered, typically produced by a reader, geometry, text, filter, or mapper. The data can actually be any type that has a render method.
Most readers, geometries, filters, and mappers provide their output both as field data (first output port) and as a Graphics Display Kit object (second output port). You use the field-data port.
DefaultDatamap
How to convert scalar node or cell data to RGB colors. If a default datamap is not supplied, it is inherited from its parent. If there is no node or cell data, the object's color is determined by DefaultProp's col subobject.
DefaultXform
A transform for the object. The Graphics Display Kit transforms an object by concatenating the transformations of the object and its parent objects.
DefaultXform is unnecessary when the object has field data (see Data, above), since field data includes a transform.
DefaultProps
The object's properties. If DefaultProps is not supplied, an object inherits its parent object's properties. The properties include:
Default color, highlight colors
Material attributes (ambient light reflectance, and so on)
Color for specular highlights
Transparency
Line attributes (style, width, and type)
Geometrical attributes
Volume attributes
Text font
Whether the object inherits its parent object's properties
DefaultModes
The object's rendering modes. If DefaultModes is not supplied, an object inherits its parent object's modes. The modes include:
Rendering mode for points, lines, surfaces, volumes, and bounds
For each mode, you can specify a particular setting or specify that the mode should be inherited from the parent object.
DefaultTexture
How to apply a texture map (a set of data that is superimposed on the object's surface) to an object. The texture includes:
Tile mode (clamp, wrap, or boundary)
Alpha mode (replace or modulate)
Filter type (point, bilinear, or trilinear)
Texture type (unfiltered, or mipmap)
Alternate object
A secondary object that may be rendered instead of the primary object. DefaultObject has a subobject called active. If active is 1 and the object is connected to an alternate object, then the alternate object is rendered instead. The Graphics Display Kit track editor (that is., GDtrack_edit) is always sets active to 1 for the duration of a transformation.
An alternate object can be DefaultObject or any application component that produces an object.
DefaultPickInfo
Information about the point that the user picked with the mouse. If DefaultPickInfo is not supplied, the user cannot pick objects.
Child objects
Zero or more child objects. A child object can have its own child objects. In this way, you can build multi-level object hierarchies.
A child object can be DefaultObject or any application component that produces a Graphics Display Kit object.

3.2.2 Application components

You can create an object with any of the application components described below.

Object
Description
DataObject
A Graphics Display Kit object. The object includes the base objects DefaultObject, DefaultDatamap, DefaultProps, DefaultModes, DefaultTexture, and DefaultPickInfo.
Through ports you can supply data, texture-map data, a colormap for a texture map, and child objects.
GroupObject
A Graphics Display Kit object that can have child objects, but no data of its own. GroupObject is useful when creating object hierarchies.
Readers, geometries, filters, and mappers
Readers (like Read_Geom), geometries (like Arrow1), filters (like scale), and mappers (like isosurface) supply their output both as field data (first output port) and as a Graphics Display Kit object (second output port). Inside these macros, the Graphics Display Kit object is created with DataObject.
Mscene
Mscene2D
Mscene3D
These objects create views. As part of their definitions, they include GroupObject, and thus define a top-level Graphics Display Kit object. Graphics Display Kit objects you connect to Mscene, Mscene2D, or Mscene3D become child objects of the top-level object. Mscene creates two top-level objects, one for 2D objects and another for 3D objects.
Uscene
Uscene2D
Uscene3D
These objects are derived from the Mscene macros. As part of their definitions, they also include the UI widgets that serve as the parent to the GDview. They also contain the UI interactors that allow picking and transformations to take place in the view.
Uviewer
Uviewer2D
Uviewer3D
These are viewers provided by the Graphics Display Kit. As part of their definition, they include Uscene, Uscene2D, or Uscene3D, and thus define a top-level object.

3.2.3 Alternate objects

A primary use of alternate objects is to speed up rendering while interacting with complex scenes. You do this by connecting an easily rendered alternate object to DefaultObject.

If DefaultObject's active subobject is set to 1, the Graphics Display Kit renders the alternate object instead of DefaultObject. The Graphics Display Kit track editor (that is, GDtrack_edit) always sets active to 1 when DefaultObject is being transformed (that is, moved, scaled, or rotated).

An alternate object typically renders one of three things:

3.2.3.1 Rendering object bounds

An alternate object can render the bounds of the connected object. You do this by using an alternate object whose modes is set to render bounds. This is the default configuration for the alternate object that is contained inside the Graphic Display kit's DataObject component.

The following diagram, which shows how to do this, is taken from the Bound1AltObj example that is found in Libraries.Examples.Graphics_Display. To see the objects shown in the network, maximize Read_Geom, maximize DataObject, maximize AltObject. Open AltModes, then open mode[5].




3.2.3.2 Rendering data with different attributes

An alternate object can render the same data, but with a different set of attributes. For example, you can render spheres as points while they are being manipulated. You do this by using an alternate object whose modes is set to render points.

The following diagram, which shows how to do this, is taken from the AttribAltObj example that is found in Libraries.Examples.Graphics_Display. To see the objects shown in the network, maximize Read_Geom, maximize DataObject, maximize AltObject. Open AltModes, then open mode[5].




It is also possible to set up the alternate object capability to render a bounds around all the objects in the view. To do this, each individual object in the view needs to have an alternate object that is not visible. This is done by setting the visible parameter of the object to 0 as illustrated in the diagram below.



The top object in the view, which is found inside the viewer, needs to have an alternate object configured to render bounds as shown above. To see an actual example, instance Bound2AltObj, maximize Read_Geom, maximize DataObject, maximize AltObject and open Obj to see an object configured to be invisible. Then maximize Uviewer3D, maximize Scene, maximize Top and look at AltObject to see the top object configured to render bounds.

3.2.3.3 Rendering some other data

An alternate object can render entirely different data, perhaps an axis glyph or a downsized version of the data. You do this by creating an alternate object with distinct data.

The following diagram shows how to connect an alternate object that renders a 3D axis glyph instead of the actual object when manipulating it.




This diagram is taken from the DataAltObj example that is found in Libraries.Examples.Graphics_Display. To see the objects shown in the network, instance DataAltObj, maximize Read_Geom, maximize DataObject and maximize AltObject.

3.2.3.4 Force rendering with 2D primitives

An alternate object can be forced to render data with 2D primitives. This may be desirable in cases where you have large data sets being rendered or you are rendering to a remote display. This feature can be used to improve interactivity.

The following diagram shows how to connect an alternate object that renders with 2D primitives when manipulating it.




This diagram is taken from the AltObj2D example that is found in Libraries.Examples.Graphics_Display. To see the objects shown in the pictured network, instance AltObj2D, maximize external_edges, maximize obj, maximize AltObject and open Obj. Notice that space is set to a value of 1. This forces the object to be rendered with 2D primitives.

3.3 Datamaps

A datamap converts scalar node data or cell data values to colors.

For example, if you define a datamap that maps data values 0 to 255 to the color range red to green. 0then displays as red, 255 as green, and a value in between as some color between red and green.

AVS/Express datamaps have the following chief characteristics:

3.3.1 Base objects

The underlying structure of a datamap consists of low-level objects: Datamap, DataRange, DataRangeModel, DatamapValue, and ColorModel. The objects are located in Libraries.Templates.DMAP.

You typically do not build your own datamaps from these objects. Instead you use and customize higher-level objects, as described later. It is helpful, however, to have some knowledge of a datamap's underlying structure as shown in the diagram shown below.




Object
Description
Datamap
Datamap is the root object of a datamap. Datamap consists of:
The minimum and maximum values of the scalar input data, typically obtained through connections to the object GDminmax. These values are read only and exist so dependencies among the GDminmax module, the datamap, and the Graphics Display Kit object that the datamap is attached to are established properly. This causes the modules to execute in the correct order when a change in the data occurs.
A connection to the data range(s). The diagram illustrates a connection to a single data range, but connections to multiple ranges are also valid. See DataRange, below.
A connection to a color model. See ColorModel, below.
DataRange
DataRange defines a single data range. DataRange consists of:
The range's minimum and maximum data values, normally obtained through connections to GDminmax. GDminmax bases its calculation on the scalar input data. When the datamap has only one range, the range's minimum and maximum normally are the same as the minimum and maximum found in the data.
The number of color steps. Inside DataRange, this is the size subobject.
A connection to a data-range model. Each of a color's four components (alpha and HSV or RGB) can have its own data-range model. The supported models are linear and step. See DataRangeModel, below.
Connections to control-point colors. See DatamapValue, below.
DataRangeModel
A data-range model specifies the type of interpolation to perform for data values that fall between a data range's minimum and maximum.
DataRangeModel defines a data-range model. You typically do not use DataRangeModel itself, but rather a subclass (for example, LinearRange or StepRange). LinearRange specifies values for the linear model. StepRange specifies values for the step model.
DataRangeModel consists of:
The model's name (for example, "LinearRange" or "StepRange")
The interpolation function
DatamapValue
DatamapValue specifies a control-point color. A data range whose model is linear often has two control points, and thus two control-point colors. DatamapValue consists of:
The color's alpha component
The color's RGB or HSV components
A datamap's control points must all use the same color model, as indicated by the ColorModel object.
ColorModels
ColorModel specifies the datamap's color model. You typically do not use ColorModel itself, but rather one of its subclasses, RGBcolorModel or HSVcolorModel. These specify values for particular color models. ColorModel consists of:
The color model's name (for example, "RGB")
Labels for the color's four components (for example, "Alpha", "Red", "Green", "Blue")

3.3.2 Using DataObject to provide a datamap

Many Graphics Display Kit objects that you commonly use already include a default datamap.

DataObject defines a Graphics Display Kit object. Through an object called Datamap, DataObject includes a datamap with the following characteristics:

A user can subsequently edit the datamap with the Graphic Display Kit's datamap editor.

In the example below, you create a Graphics Display Kit object with DataObject. The object includes a default datamap:



The Data Visualization Kit's readers, geometries, filters, and mappers supply their output both as field data (first output port) and as a Graphics Display Kit object (second output port). Inside these macros, the Graphics Display Kit object is created with DataObject, and thus includes the default datamap.

In the example below, you create a Graphics Display Kit object with isosurface. The object includes a default datamap:



3.3.3 Example: Replacing DefaultDatamap in DataObject

As described previously, DataObject includes DefaultDatamap, so it supplies a datamap whose color range is blue to red. The Data Visualization Kit's readers, geometries, filters, and mappers include DataObject, so they too include DefaultDatamap. You can easily replace DefaultDatamap with another predefined datamap, as illustrated below.

3.3.3.1 Starting up
  1. Start AVS/Express and choose Single-window DataViewer with a 3D viewer from the startup dialog, or, from an existing AVS/Express session, start a new Single-window DataViewer with a 3D viewer by selecting the appropriate entries from the File->New Application... dialog, as appropriate.
3.3.3.2 Create the network
  1. Instance into the SingleWindowApp workspace the following: ReadField, bounds and isosurface. Then, connect them as shown in the diagram below.



3.3.3.3 Read the data

You need to supply some data for the example to use.

  1. Select Editors->Modules to make the modules user interface panel visible. Select Read Field from the Modules option menu to make the Read Field user interface visible. Select the Browse button, a dialog box appears. Select wind.x, then select the OK button.
  2. Select Editors->Light to display the light editor's user interface. Select Bi-Directional in the light type option menu.
  3. Select Editors->Modules to make the modules user interface panel visible. Select isosurface from the Modules option menu. Deselect Data0 and select Data1 from the iso component radio box. This causes isosurface to generate the isosurface from one component and map it with the colors from another component.
3.3.3.4 Display the datamap editor
  1. Select the isosurface object in the view using the left mouse button. This makes isosurface the current object. Notice that the Current Object label at the bottom of the view window now says isosurface.
  2. Select Editors->Datamap to make the datamap editor's user interface visible.
Notice that the data value at the right of the editor's window is 46.77. The data value at the left of the editor's window is -20.84. Isosurface's datamap is currently ranged to these values.
3.3.3.5 Replace the datamap

You are now ready to replace the existing datamap.

  1. From the Options option menu, select Input/Output. Select the Browse button.
  2. Select GreyScale and hit the Apply button. This datamap is found in Libraries.Templates.DATAMAPS.
Notice that the isosurface is now colored in shades of grey as you would expect with a grey scale datamap.
3.3.3.6 Cleanup

This completes the example.

  1. Delete the application.

The completed example is found in Libraries.Examples.Graphics_Display.ReplaceDatamap.

3.4 Views
3.4.1 Base objects

You can create a view by assembling base objects, according to the structure shown below. DefaultPickCtrl and DefaultLight are optional. A view must have at least one camera:




Here is a summary of the objects that make up a view.

Object
Description
DefaultView
Defines the root object. DefaultView stores basic information about the view, has connections to base type objects, and calls update methods when the view changes.
The basic information includes:
  • The view's mode (manual or automatic update).
  • The renderer (Software, OpenGL, and so on).
  • The view's background color.
  • Whether the view is rendered using a single buffer (that is, directly to the screen) or a double buffer (that is, rendered off-screen first, then copied to the screen).
  • Whether view rendering is accelerated. If so, the view does not render objects whose type subobject is set to static, unless the object changes.
  • A trigger subobject that is set to 1 when the object is being rendered. One common use is in interactivity. For example, the object GDroi2d_cont handles a type of 2D drawing. You can connect the object's redraw subobject to trigger so that the drawing is redrawn whenever the view is rerendered.
For details, see Chapter 5, Interactivity.
UIrenderView
Defines the panel in which the view appears. DefaultView is connected to the UIrenderView's handle subobject (type UIwinHandle).
BestVirtPal
Specifies a virtual palette controlling how a rendering window's colors appear on the screen. You can use BestVirtPal, or any of the other virtual-palette objects provided by the Graphics Display Kit, or a virtual palette you create.
DefaultLightInfo
Specifies basic information about the view's lighting, and has connections to zero or more lights.

The basic information includes:

  • whether the ambient light is on
  • the ambient light's color
DefaultLightOn
Defines a light source for the view. A view can have zero or more lights. You connect DefaultLight to DefaultLightInfo. If you do not supply DefaultLight, the view has only ambient lighting, controlled by DefaultLightInfo.
DefaultPickCtrl
Defines pick-control information for the view. DefaultPickCtrl is required if you want the user to be able to pick a view's objects with the mouse.
DefaultCamera2D
DefaultCamera3D
Define a camera. Graphics Display Kit objects you connect to DefaultCamera2D are rendered in 2D. Objects you connect to DefaultCamera3D are rendered in 3D. A camera can have multiple objects. A view can have multiple 2D and/or 3D cameras.
Object
Defines a Graphics Display Kit object. A view can have multiple objects. You can use DefaultObject or any application component that produces a Graphics Display Kit object.

3.4.2 Application components

You can create a view with any of the application-component objects described below.

Object
Description
Mscene
Mscene2D
Mscene3D
These objects create views. As part of their definitions, they include GroupObject, and thus define a top-level Graphics Display Kit object. Graphics Display Kit objects you connect to Mscene, Mscene2D, or Mscene3D become child objects of the top-level object. Mscene creates two top-level objects, one for 2D objects and another for 3D objects.
Uscene
Uscene2D
Uscene3D
These objects are derived from the Mscene macros. As part of their definitions, they also include the UI widgets that serve as the parent to the GDview. They also contain the UI interactors that allow picking and transformations to take place in the view.
Uviewer
Uviewer2D
Uviewer3D
These are viewers provided by the Graphics Display Kit. As part of their definition, they include Uscene, Uscene2D, or Uscene3D, and thus define a top-level object.

3.5 Virtual palettes

The virtual palette gives the Graphics Display Kit the ability to manage its color resources, providing basic control both initially and at runtime over such attributes as the type of visual used, the sharing of palettes and the gamma correction value. The virtual palette provides the following functionality:

Included below is the V description of the virtual palette.

group+OPort PALvirt<struct_name = "PALvirt",
struct_bitmask = "PALvirtBitmask",
NEnumColors=6,
NEcolor0=0xff0000,NEcolor1=0xffff00,NEcolor2=0x00ff00,
NEcolor3=0x00ffff,NEcolor4=0x0000ff,NEcolor5=0xff00ff> {
int update;
int vclass;
int vid;
int share;
float gamma;
int cube_size;
cmethod+notify_inst init = "PALvirtif_init";
cmethod+notify_val upd = "PALvirtif_update";
cmethod+notify_del delete = "PALvirtif_delete"

The update element is set by objects that are attached to the view. This forces the virtual palette to recalculate the color resources required, possibly causing the underlying system palette to change. All views that have the virtual palette attached are notified that they need to rerender. This occurs under the following conditions:

The vclass element controls the visual class that is used by the virtual palette. The following values are valid visual classes:

The vid element provides a way to directly specify a visual id to be used by the virtual palette. If a visual id is provided, it overrides the visual class that is chosen.

The share element specifies if the virtual palette should be shared with others in the system palette or if a private system palette should be created. If a shared virtual palette is specified, an attempt is made to share with virtual palettes that have the same visual type specified.

The gamma element controls the gamma correction used in the system palette.

When an 8-bit visual is being used, the cube_size element controls the size of the color cube that is used.

3.5.1 Relationship with other components

This section discusses the relationship between the virtual palette and other components in the system: system palette, view, camera, object, and datamap.



Each system palette is associated with a separate hardware colormap. A system palette is created whenever a virtual palette is attached to it. Other virtual palettes may also be attached to the system palette if they meet a set of matching requirements. When the number of virtual palettes attached to the system palette reaches zero, the system palette is deleted. There are a number of possible relationships between the virtual palette and the system palette:

Each view has a window on the screen that is rendered into by the Graphics Display Kit. There are a number of possible connections between the virtual palette and the view:

Each object is attached indirectly to a view(s) through a camera. A datamap may be attached to an object or inherited from a parent object. Each object has a dither technique attribute. This attribute is meaningful when the visual used in the view is 8-bit (that is, PseudoColor). Valid values for this attribute are cube and ramp. When cube is selected, scalar data values are converted into RGB values using the datamap. When ramp is selected, the datamap associated with the object is converted into a linear ramp of the specified size. This linear ramp is loaded into a section of the system palette. The scalar data values are converted into indices into the ramp in the system palette.

3.5.2 Color allocation scheme

This section discusses the color allocation scheme that is used. This is necessary only if you are using is an 8-bit visual. For 24-bit visuals, you can directly represent any color. The color allocation scheme must be managed on a system palette basis. This is necessary because a system palette may have multiple virtual palettes attached. Each virtual palette may have different views attached to it. The views may have different objects in them, with different color resource requests.

Calculating resources

The first step of the color allocation scheme is the calculation of the resources that have been requested. The color resources requested of the system palette are of two basic kinds: cube and ramp. The cube size for the system palette is determined when virtual palettes are attached to views. Part of this attachment process is to find an appropriate system palette for the virtual palette. If it is the first virtual palette for the system palette, the requested cube size of the system palette is obtained from the virtual palette. If the virtual palette is sharing the system palette with other virtual palettes, it assumes the cube size of the first virtual palette. A subsequent change to the cube size in any of the virtual palettes attached to the system palette is assumed by all virtual palettes. To find all the ramp color resources requested for a system palette, the steps listed below are followed.

  1. Loop over the virtual palettes.
  2. Loop over the views.
  3. Loop over the cameras.
  4. Loop over the objects.
  5. If object dither technique is ramp, add ramp to the system palette.

This process builds a list of ramps that need to be loaded into the system palette. Each ramp is associated with a datamap. The datamap size is the requested size of the ramp. Each datamap is added as a ramp only once.

Fitting to the available resources

The second step of the color allocation scheme is fitting the requested resources to the available resources in the system palette. The first part of the fit process is to determine the largest available region in the colormap that you are using. The colormap used is determined by the visual and share mode that the virtual palette specifies. The size of the region and the color indices of each entry in this region are saved. The next step is to take the requested color resources and map them into the available resources. The basic rules followed are:

Loading the colormap

The final step is to calculate and load the requested colors into the hardware colormap. The interesting part in this stage is the conversion of the datamap specification to a linear ramp. If you look at the datamap as a whole, the minimum is the min value for the first range and the maximum the max value for the last range. Each ramp has a size from the previous step that it needs to fit into. So, you query the datamap for a table of the allowed size that spans the minimum to maximum data values. These are the colors that are loaded into the hardware colormap. This has the effect of making each range in the datamap the same size in the ramp no matter what size was actually requested for it. This is necessary since the conversion from scalar value to pixel using a ramp is simply a linear lookup.

3.5.3 Color allocation examples

The following sections describe the processing that takes place when typical changes occur that cause the virtual palette allocation to change.

Not Enough Colors for Cube

Assume that the largest region in the system palette that is available is 150 cells. The requested cube size is 6 and no ramps have been requested. The number of color cells needed to accommodate the cube is 216 (that is, 6x6x6). Since there are only 150 cells available, the cube size is degraded to 5. Now, 125 cells are needed to accommodate the cube. Since the number of cells needed are now available, the process is complete.

Color Allocation with a Single Ramp

Assume that the largest region in the system palette that is available is 256 cells (that is, the whole colormap). The requested cube size is 6 and one ramp of size 256 has been requested. This is the size that would be requested if you ask to have the default datamap converted into a ramp. The number of color cells needed to accommodate the cube is 216 (that is, 6x6x6). Since there are 256 cells available, the cube fits. There are now 40 cells left over. Since only one ramp has been requested, it gets all the color resources it asked for up to what is currently available. So the size of the ramp is 40 cells.

Cube Size Changes

Continuing directly from the previous example, you change the size of the cube in the virtual palette to 5. You now need 125 cells to accommodate the cube. There are 256 cells available, so there is a fit. There are 131 cells left over. Since only one ramp of a size of 256 cells has been requested, it gets all the color resources up to what is currently available. So the size of the ramp is 131 cells.

Color Allocation with Multiple Ramps

Assume that the largest region in the system palette that is available is 256 cells (that is, the whole colormap). The requested cube size is 5. Two ramps have been requested: one of size 256 and the other of size 100. The number of cells needed to accommodate the cube is 125. Since there are 256 cells available, there is a fit. There are 131 cells left over to satisfy the two ramps. The ramp allocation works as follows:

For this case, the total ramp allocation requested is 356. Ramp 1 of size 256 is 72%. Ramp 2 of size 100 is 28%. As a result, ramp 1 is given 72% of 131 cells or 94 cells. Ramp 2 is given 28% of 131 cells or 36 cells. The total number of cells allocated for the two ramps is 130. There are 131 cells available. The difference is due to round-off. This may happen from time to time depending on the sizes of the ramps requested and the number of cells available. Each ramp is given at least one cell even if the size calculation is 0. This may happen if one ramp is extremely large and another is small. AVS/Express makes sure that it does not give out more than the number of cells available. It may be that at the last ramp, the calculated size may be greater than what is left. This may happen due to round off or if a ramp size was calculated to be 0. In this case, the ramp gets only the number of cells that are left.

3.5.4 Standard virtual palettes

The Graphics Display Kit provides the following virtual-palette objects. They are all created from the base class PALvirt:

Virtual-palette object
Description
BestVirtPal
Looks for the best visual available. Shares a colormap if possible.
DefaultVirtPal
Uses the windowing system's default visual.
MaxCube
Uses a PseudoColor, shareable visual, with cube size 6.
MinCube
Uses a PseudoColor, shareable visual, with cube size 2.

3.5.5 Using an X11 standard colormap

The Graphics Display Kit viewers can be set to use an X11 standard colormap. To use the standard colormap with a viewer, set the vclass parameter of the VirtPal subobject to 6.

For example, to have Uviewer3D use the standard colormap, do the following:

  1. Instance the Uviewer3D object
  2. Maximize Uviewer3D
  3. Maximize the Scene subobject
  4. Maximize the View subobject
  5. Open the VirtPal subobject
  6. Open the vclass parameter
  7. Set vclass to 6

The renderer will then try to use a standard colormap. The same procedure can be used for any of the other viewers. In the Uviewer3d object look for VirtPal in the Uscene3D subobject. In the Uviewer2d object look for VirtPal in the Uscene2d subobject. In the Uviewer object, look for VirtPal in the Uscene subobject.

Interactive modification of the virtual palette's subobjects when using standard colormaps is extremely limited. Changes to the share, gamma and cube_size subobjects are ignored. AVS/Express does not do any modifications to the standard colormap once it has been created and installed.

3.5.6 Example: Using a ramp

This example shows how to configure the virtual palette so an image is rendered with a ramp using an 8-bit visual. In this configuration, it is possible to dynamically change the colors in the hardware color lookup table.

3.5.6.1 Starting up
  1. Start AVS/Express or load a new application with None as the application type, as necessary.
  2. Instance vpalRamp.

This example is found in Libraries.Examples.Graphics_Display. The example renders an image of a mandrill in the viewer's window.

3.5.6.2 Configure the virtual palette

You are now ready to configure the virtual palette. This is the first step to allow the image to be rendered with a ramp. Note: these steps have already been done for you in the example that has been loaded.

  1. Select an 8-bit visual for the virtual palette.
a. Maximize Uviewer2D, maximize Scene, maximize View, and open VirtPal.
b. Open vclass. This controls the visual class that is used for this view. Set vclass to 3, which means 8-bit pseudo color visual.
c. Open cube_size. This controls the size of the color cube that is allocated in the virtual palette. Set cube_size to 3.
This reduces the amount of color resource consumed by the cube and allows the ramp to be larger. The dither pattern should now be readily apparent since the cube size is small.
d. Close VirtPal, close Uview2D, and close Uviewer2D.
3.5.6.3 Configure the object

You are now ready to configure the Graphics Display Kit object that represents the image so it will use a ramp. Note: these steps have already been done for you in the example that has been loaded.

  1. Select the image in the view window using the left mouse button.

This causes the image to become the current object. Any subsequent changes you make using the viewer's editors will affect this object. Notice that the Current Object string at the bottom of the view window now says extract_scalar.

  1. Select Editors->Object to make the object editor's user interface visible. Select Field Conversion from the Object option menu. Select Image from the Type option menu.
  2. Select Ramp from the Dither Technique option menu.

This causes the datamap that is attached to the Graphics Display Kit object to be converted into a ramp and loaded into a section of the system palette. You should notice that the dither pattern that was present goes away since the image is now rendered with a ramp.

3.5.6.4 Modify the datamap

You are now ready to start modifying the datamap and see the effect of the changes you make.

  1. Select Editors->Datamap to make the user interface for the datamap editor visible.
  2. Set the Immediate toggle. This causes changes made to the sliders in the datamap editor to be processed as the slider is moved as opposed to when you are done moving the slider.
  3. Select Edit Color from the Options option menu. Move the Min slider in the Hue frame.

Notice that the colors of the image are updated immediately. This is because the section of the hardware colormap that is used to render this image is being changed. The view is not rerendered in this case - a virtual palette that is using an 8-bit visual and an object that has a dither technique of ramp.

  1. Select Edit Range/Data from the Options option menu. Set the Sub-range Values toggle. This will allow you to perform window leveling on the image.
  2. Move the Range Min slider.

As you move, all values in the image that are less than the slider value are clamped to the minimum color value. This process can be repeated for the Range Max slider.

  1. Reset the range value sliders. Unset the Sub-range Values toggle.
3.5.6.5 Change the ramp size

You are now ready to change the datamap's ramp size. By default, the requested size of the ramp is 256 as indicated by the range size typein.

  1. Set the range size typein to 5. Notice the effect this has on the image and on the color bar in the datamap editor. The individual color bands should be clearly visible.
  2. Try other sizes in the range size type. Notice the effect on the image.
3.5.6.6 Clean up

This completes the tutorial. The completed tutorial is available in Libraries.Examples.Graphics_Display.vpalRamp.

  1. Delete the application. 
3.6 Window

A window defines the UI window in which the view appears.

3.6.1 Base objects

You can create a window by assembling UI objects according to a structure similar to the one shown below.

The annotations in the diagram indicate the subobjects you typically set.

The diagram illustrates UIrenderView connected to Mscene3D, an application component that defines a view.




Here is a summary of the objects that make up a window.

Object
Description
UIcmdList
Defines the window's main menu bar. You include UIcmdList if your application's window will have pull-down command lists.
UIshell
Defines the window's shell.
UIpanel
Defines the panel in which UIrenderView's panel is placed.
UIrenderView
Defines the rendering panel for the view.

3.6.2 Application components

You can create a window with the application component ViewUI. ViewUI includes UIcmdList, UIshell, UIpanel, and UIrenderView.

3.7 Editors

An editor lets the user control a root or base object. For example, a camera editor lets the user control a view's camera.

3.7.1 Base objects

You can build an editor by assembling base objects according to the following structure.

The diagram illustrates a camera editor. It shows only a small portion of the UI objects that make up the user interface. For a complete example, see the application component Ucamera_editor.




Here is a summary of related objects:

Object
Description
Ucamera_editor
The highest level application component. It contains both a user interface macro, typically named IUI, and the edit object, typically named GDxxx_edit.
This component has the behavior of automatically attaching itself to the Editors entry on the shell's menu bar.
Mcamera_editor
An application component that contains the edit object but does not have any user interface associated with it.
GDcamera_edit
The edit object. Most root and base objects have a corresponding edit object. For example, DefaultCamera3D's edit object is GDcamera_edit. DefaultView's edit object is GDview_edit.
DefaultCamera
The base object being controlled by the editor.

3.7.2 What an edit object looks like
V code

Here is a portion of GDcamera_edit, with comments inserted to highlight the main parts of an edit object:

group GDcamera_edit_notify_templ {
//
// shell_vis.
//
int shell_vis;

//
// Parameters used to update the base object.
//
float from_x;
float from_y;
float from_z;
...

//
// Connection to a base object.
//
GDcamera_templ &camera;
}; 
Three main parts

An edit object has three main parts:

shell_vis is only checked if the camera that the editor is attached to has changed. In this case, if shell_vis is not set to 1, the editor does not update. This inhibits updates to the editor's other subobjects - which are normally attached to UI widgets - when the user interface is not visible. The editor always executes when the values of the other parameters change. This means that the camera that the editor is attached to is always updated even if the user interface is not visible.
Typically you connect shell_vis to the same UIcmd object that the user selects to display the editor's user interface:
shell_vis => UICmd.do;
For example:
UIfield UIfield_fromx {
...
value => GDcamera_edit.from_x;
};
In this way, when the camera editor first appears, the from_x field contains the current from_x setting for the camera. If the user changes the value, GDcamera_edit is modified, and it in turn modifies the camera.
camera => DefaultCamera3D;
3.7.3 Application components

You can create an editor with an application component.

The Graphics Display Kit provides the following editors:

How the editors work

The Uxxx editors all work essentially the same way. Each



TOC PREV NEXT INDEX