gradient


Synopsis

compute the vector gradient of a vector field

Input Ports

in_field

Mesh + Node_Data

ui_parent

user interface parent object

 

Parameters

data component

UIradioBoxLabel

select a component of the input field

 

Output Ports

out_fld

same Mesh + Node_Data

out_obj

output renderable object

 

Description

gradient computes the vector gradient of a field with any mesh type.

Input Ports

in_field

The input must be a field with any type of mesh and Node_Data. At least one of the Node_Data's components must be a scalar.

ui_parent

A port to connect to a user interface object that contains the macro's widgets. By default, it is connected to the default user interface object in the application in which the macro is instanced. (This default connection is not drawn.)

Parameters

data component

UIradioBoxLabel. Radio buttons to pick which component of in_field to use to compute the gradient. You must pick a scalar component. The default is the first (0th) component. If node data labels are present, they are displayed.

Output Ports

out_fld

The output field contains a new Node_Data that has a three-element vector float value at each node representing the gradient. Its mesh is a reference to the input mesh.

out_obj

This is a renderable version of the output field.

Algorithm

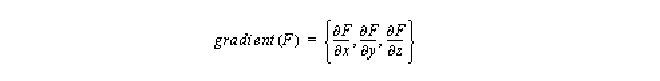
The algorithm used to compute the gradient in structured meshes is a finite difference approximation based on a central difference scheme. For unstructured meshes, the function is based on the cell shape functions and their derivatives.

In both cases, the equation used to compute the gradient is:

GENERATE/FH794143.gif  

Example

Libraries.Examples.Vizualization.Grad
v/dv_examp/grad.v

File

v/modules.v

See also

Related modules